Bahía Blanca Aero
Bolivar Aero
Catamarca Aero
Ceres Aero
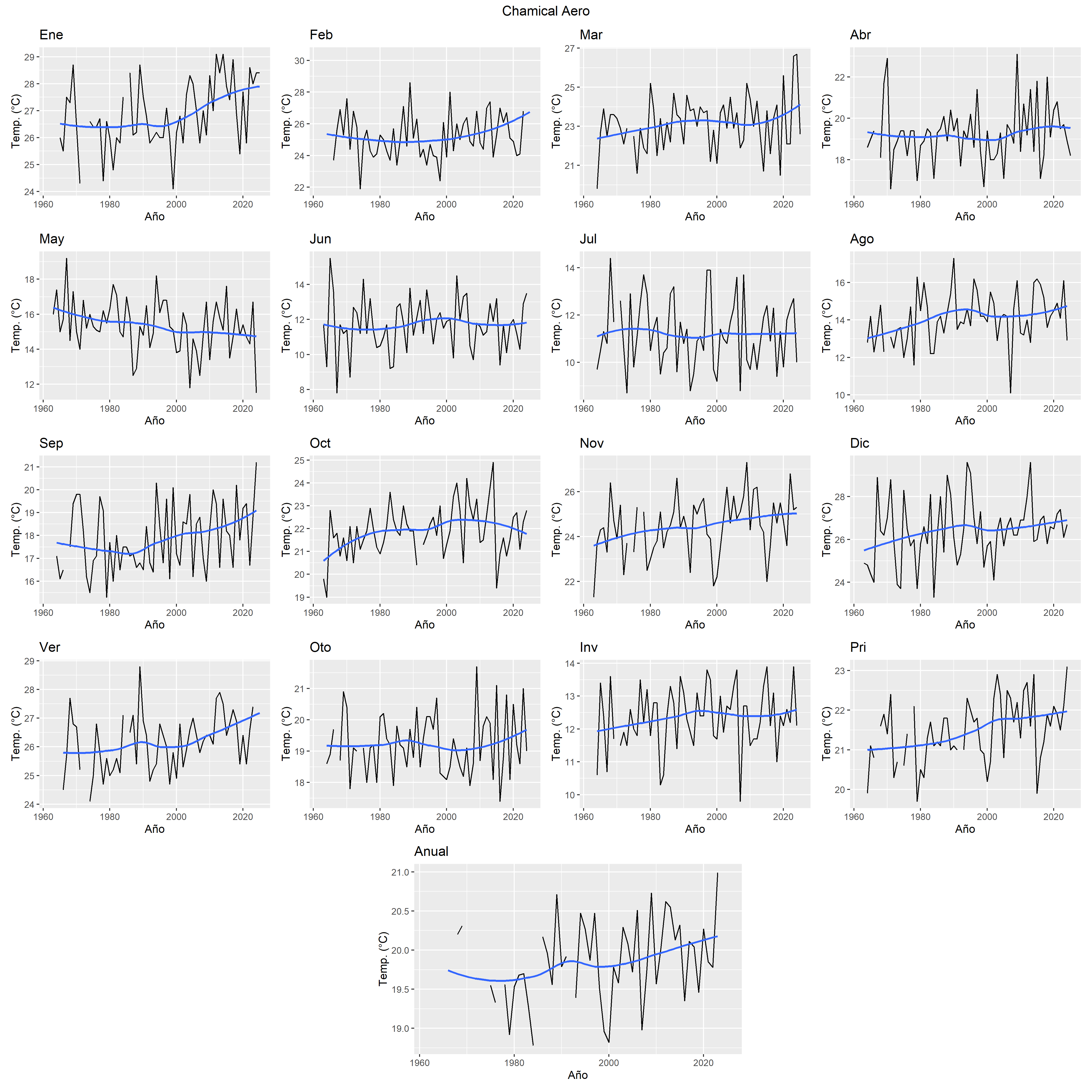
Chamical Aero
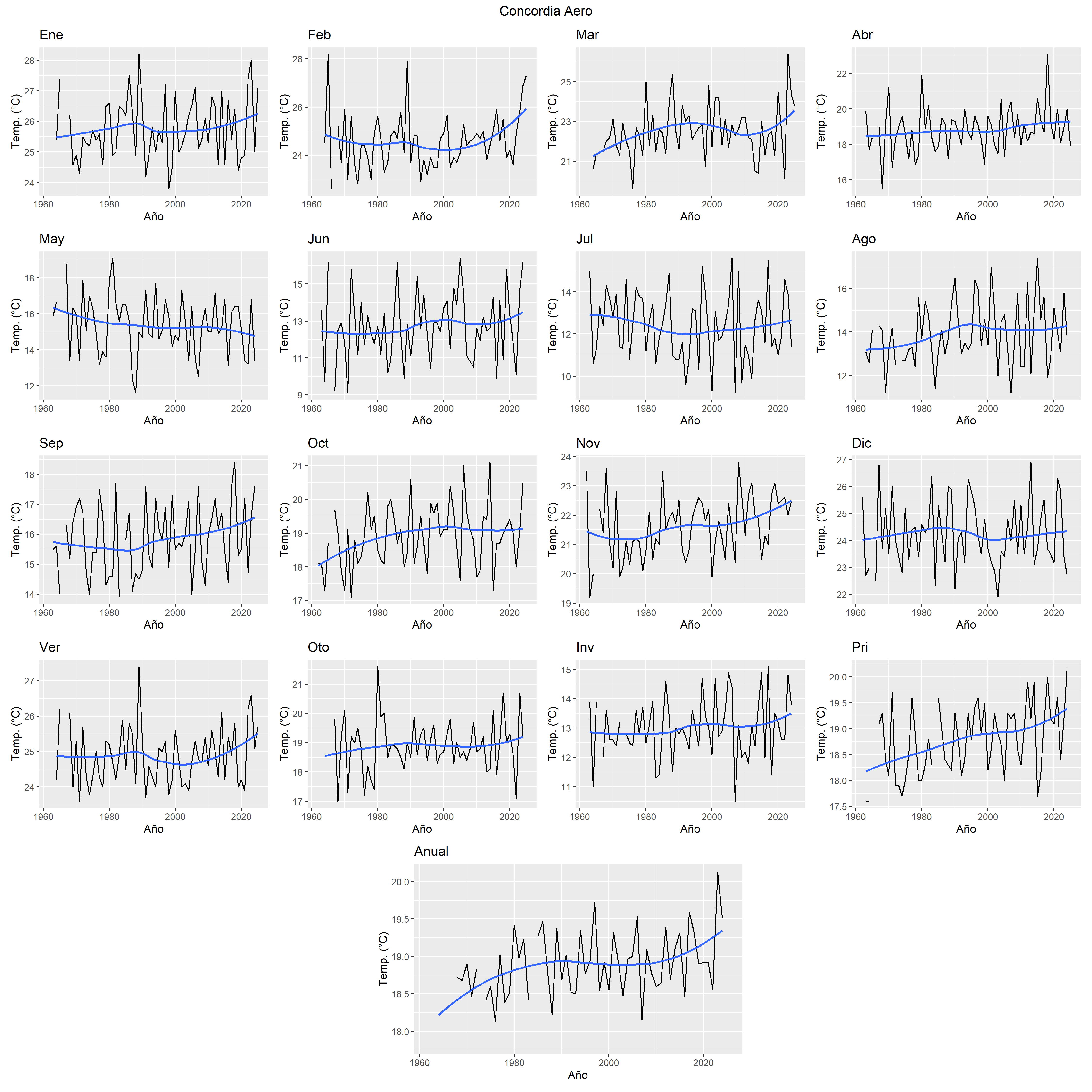
Concordia Aero
Córdoba Aero
Coronel Suarez Aero
Corrientes Aero
Dolores Aero
Formosa Aero
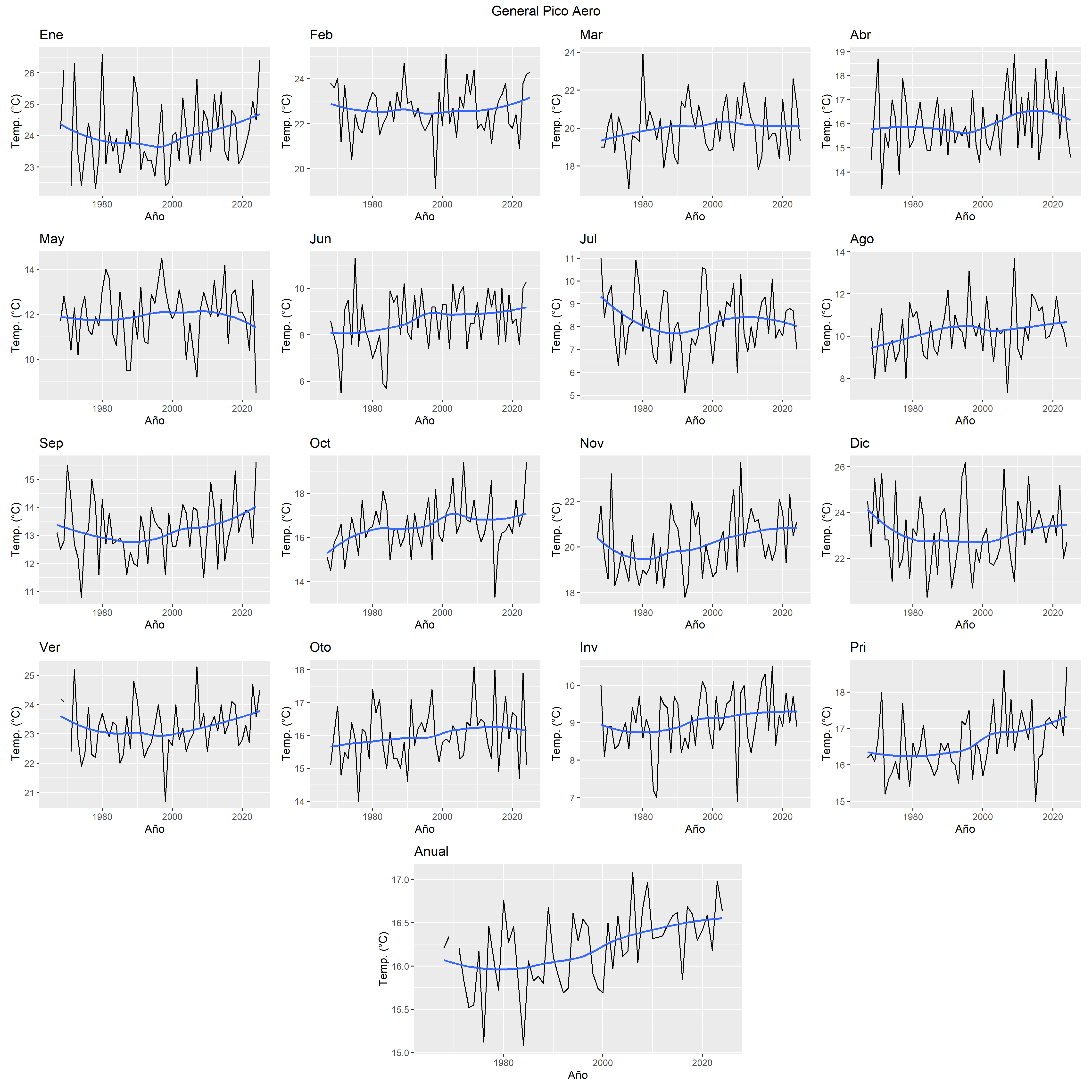
General Pico Aero
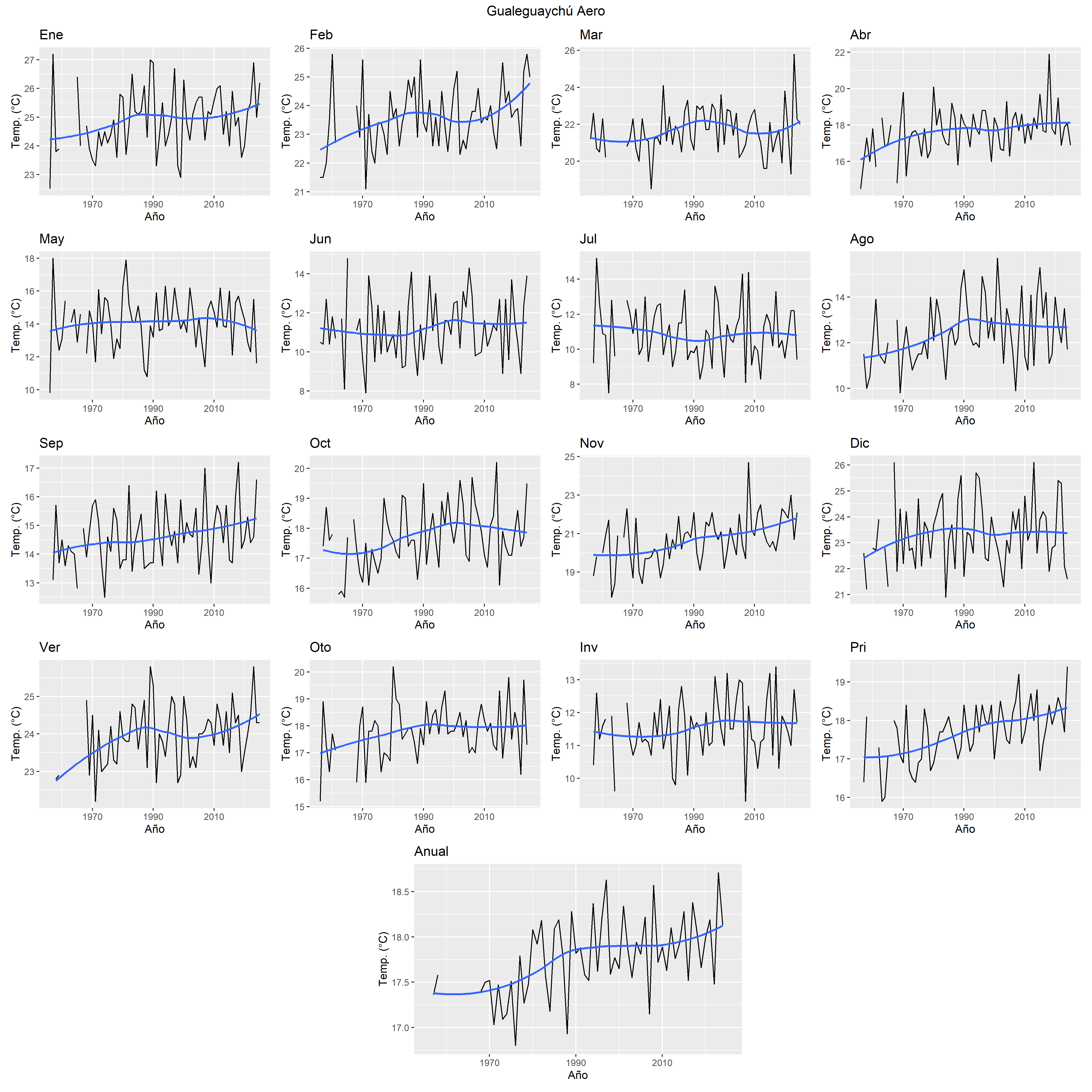
Gualeguaychú Aero
Iguazú Aero
Jujuy Aero
Junin Aero
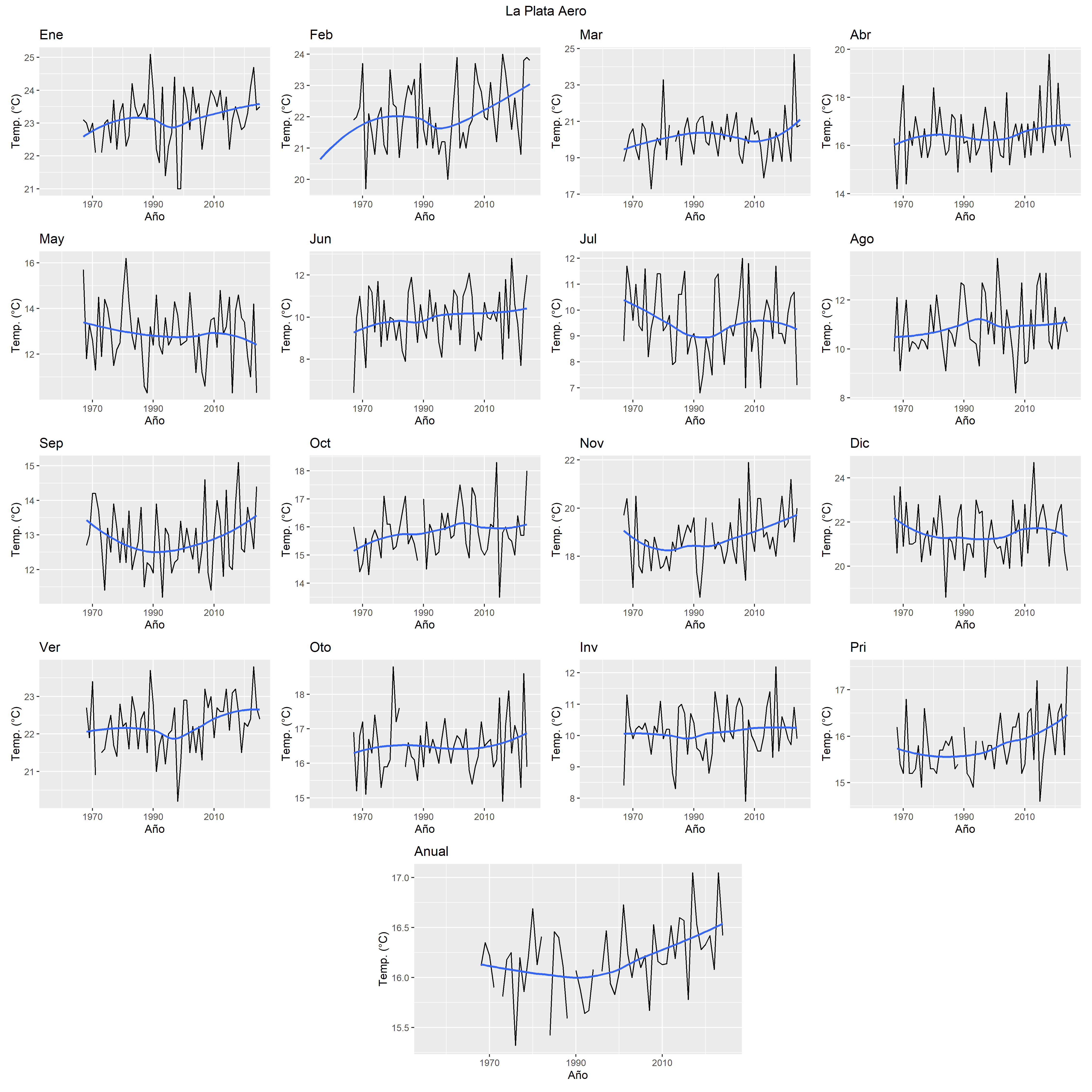
La Plata Aero
La Rioja Aero
Laboulaye Aero
Las Lomitas
Malargüe Aero
Mar del Plata Aero
Marcos Juárez Aero
Mendoza Aero
Mercedes Aero
Neuquén Aero
Orán Aero
Paraná Aero
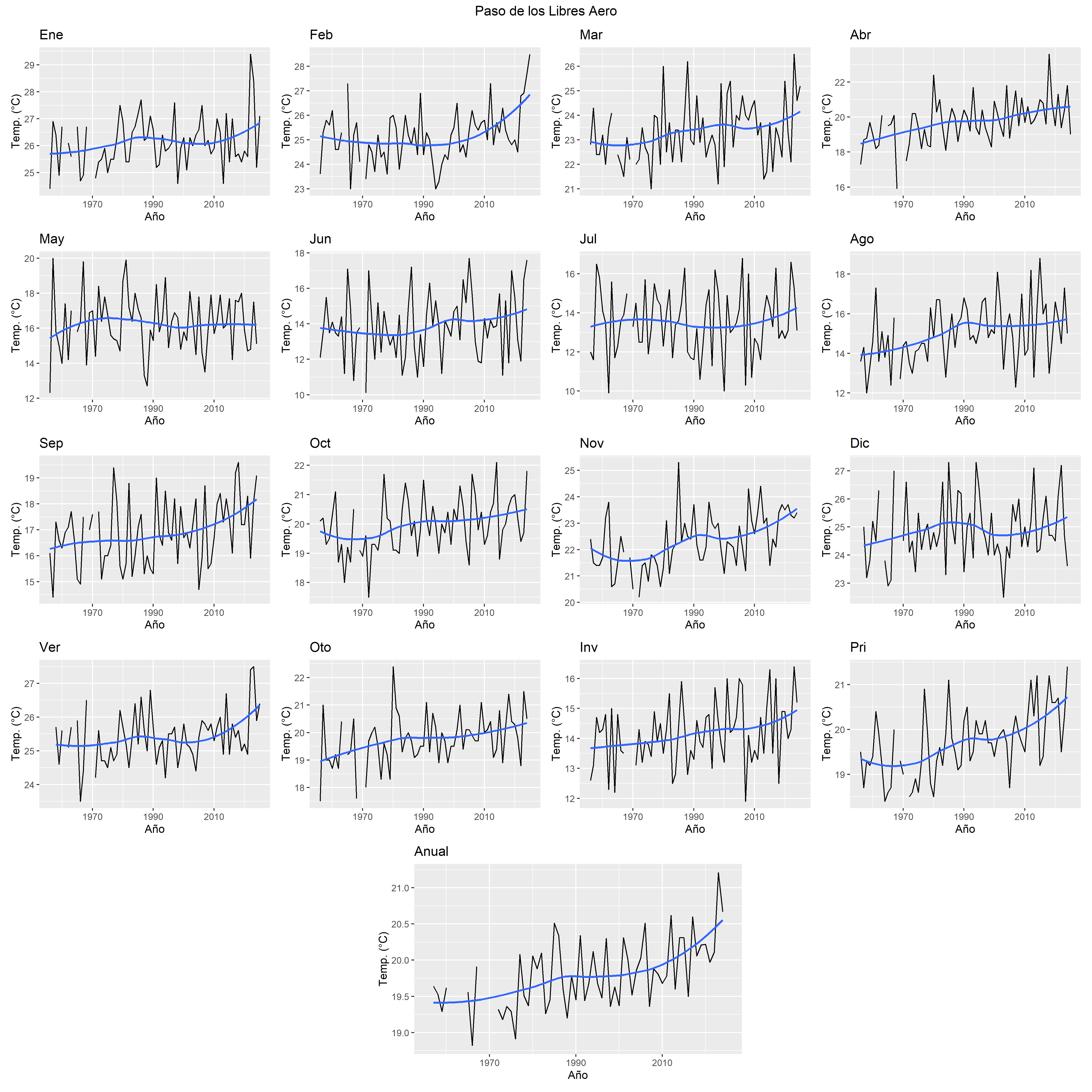
Paso de los Libres Aero
Pcia Roque Saenz Peña Aero
Pehuajó Aero
Pilar Observatorio
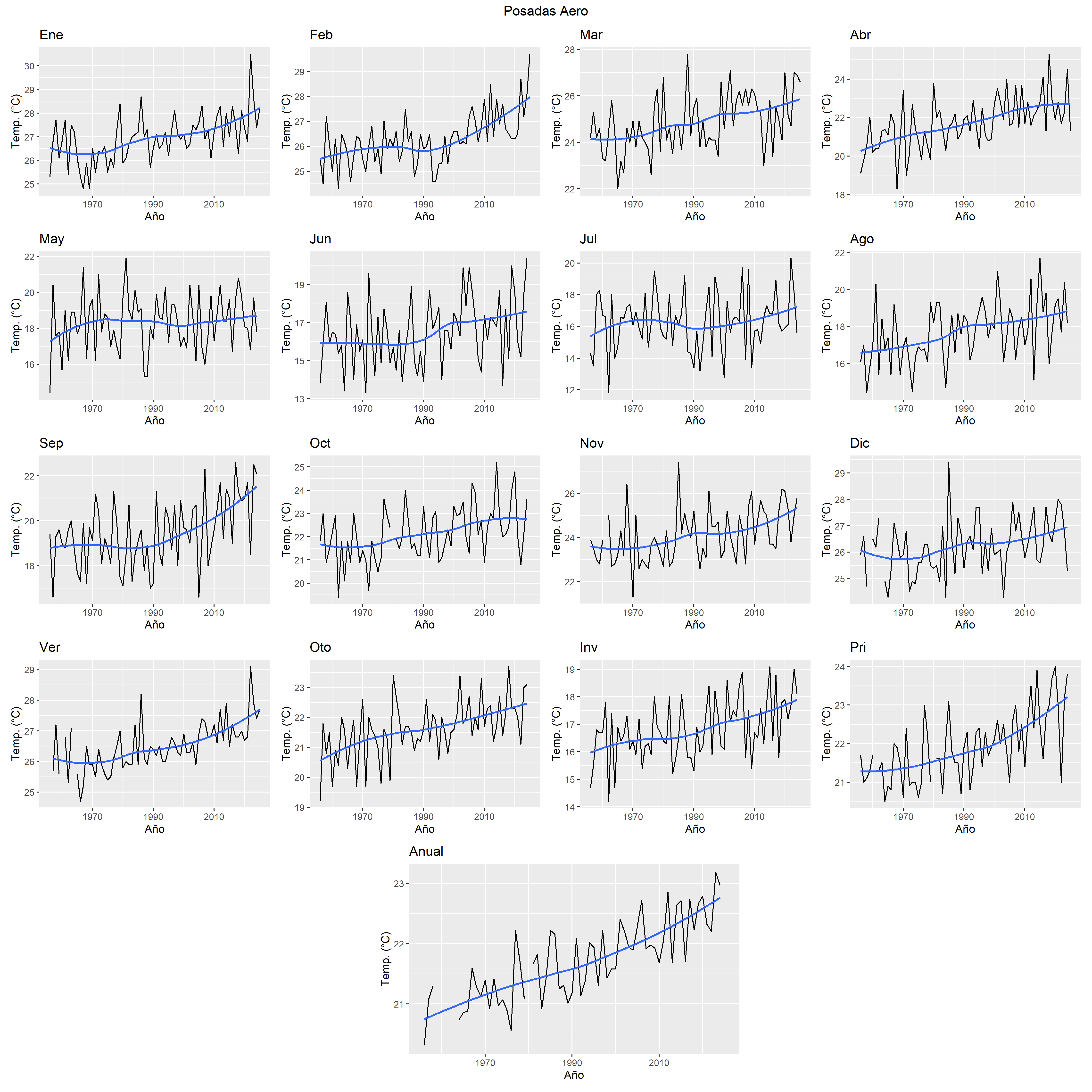
Posadas Aero
Punta Indio B.A.
Reconquista Aero
Resistencia Aero
Rio Cuarto Aero
Rivadavia
Rosario Aero
San Juan Aero
San Luis Aero
San Martín Mza
San Rafael Aero
Santa Rosa Aero
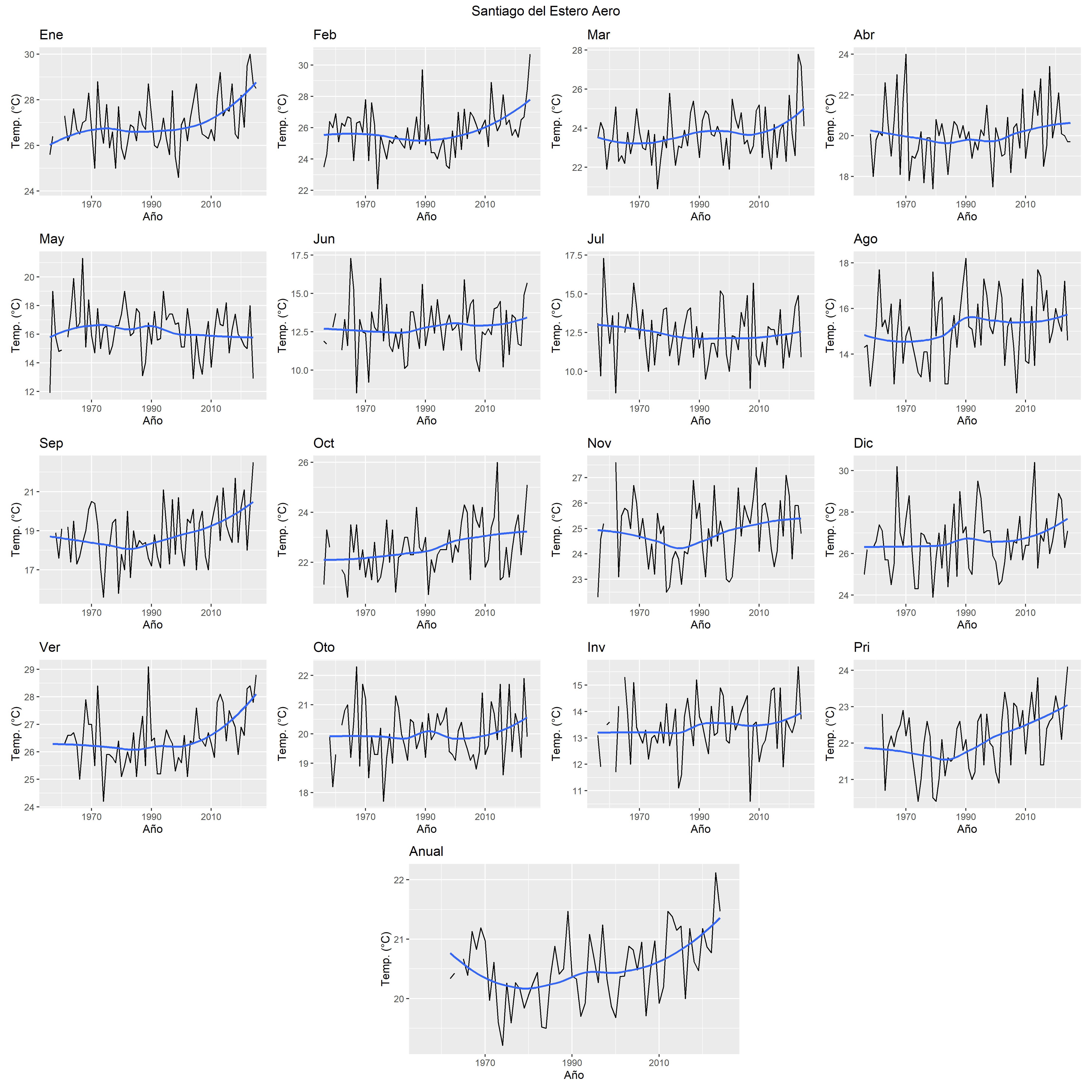
Santiago del Estero Aero
Sauce Viejo Aero
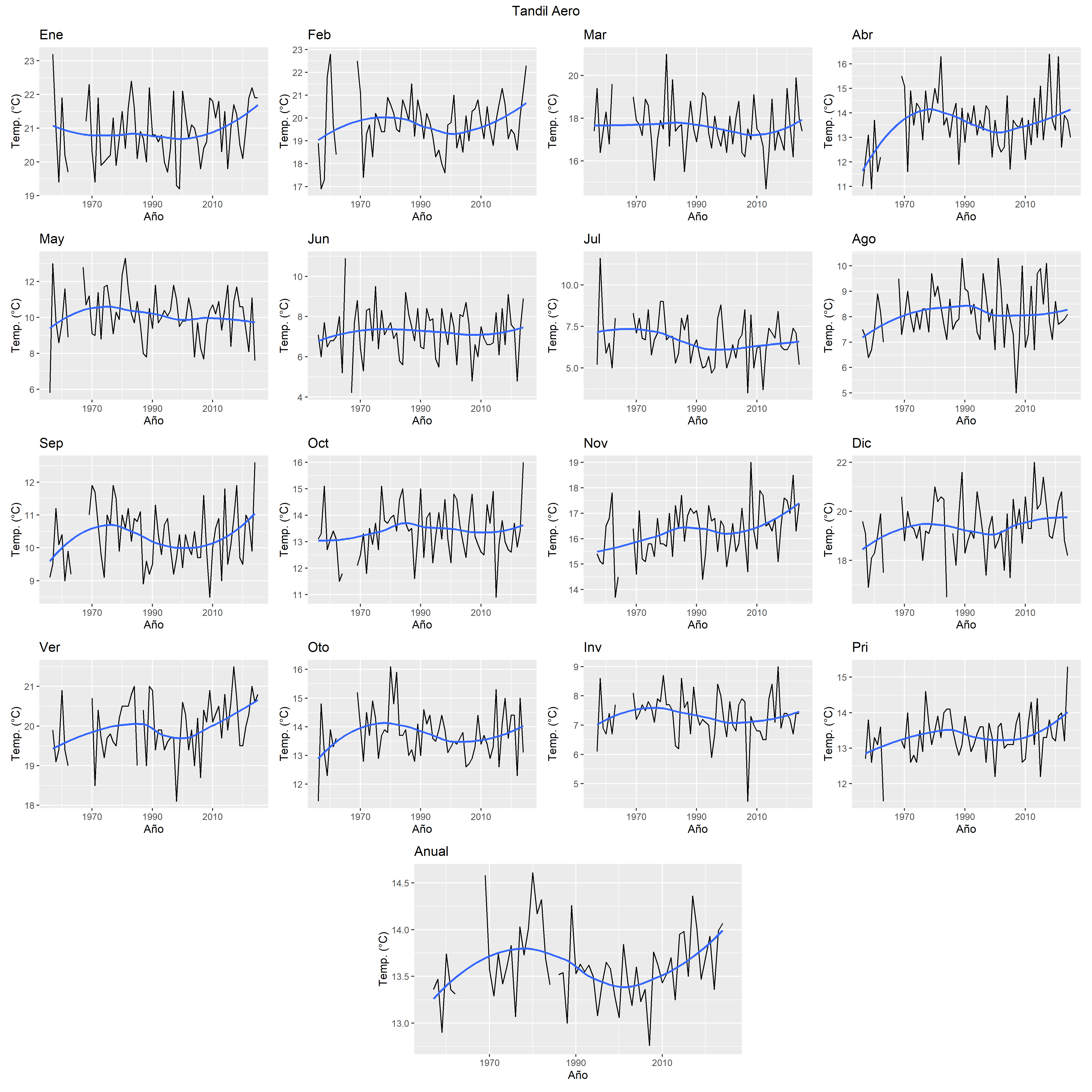
Tandil Aero
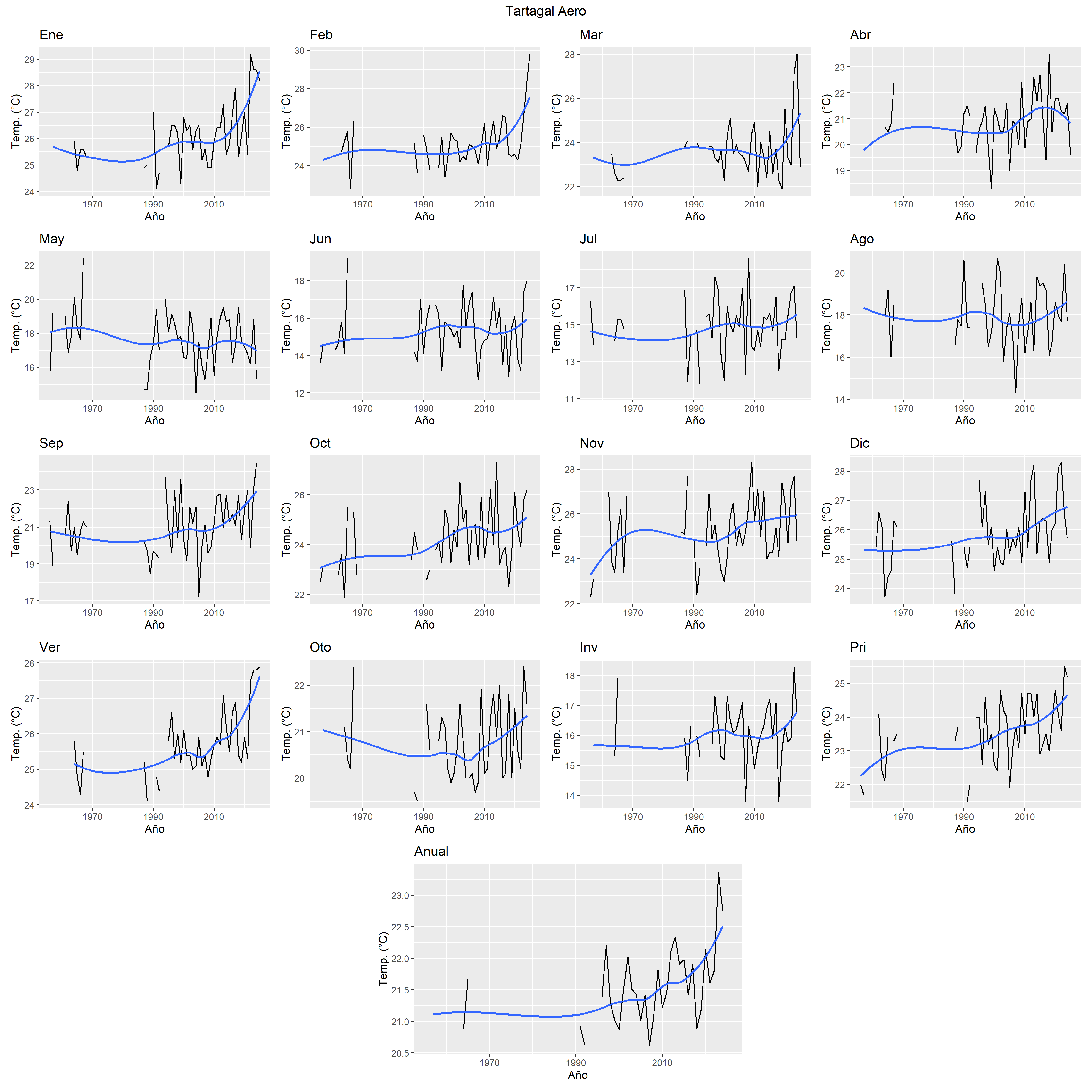
Tartagal Aero
Tucumán Aero
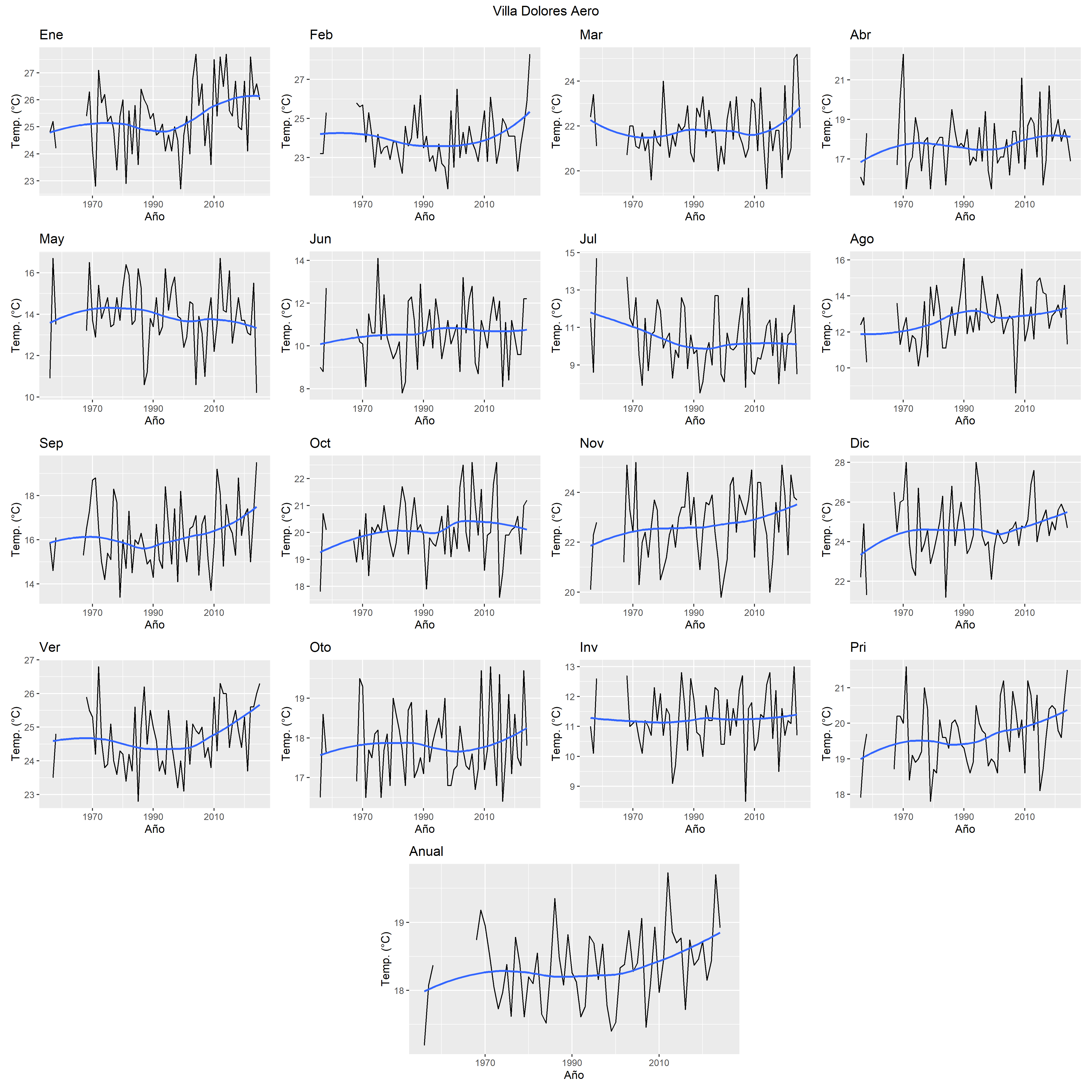
Villa Dolores Aero
Villa María del Río Seco
Villa Reynolds Aero

Suavizado utilizado: loess.

Gráficos actualizados hasta abril del 2025. Última actualización: 11 de mayo del 2025.